√100以上 VjA 70 ã ¯^ V[g 707435
Find its speed after falling 70 m g if it falls 2 xs farther, by how much will the speed change Since if y is doubled, v will be increased by 2xs 2 A marble dropped from a bridge strikes the water in 60 s Calculate a the speed with which it strikes the water (this isV = 61î Mm/s Solution The force on a moving charge is given by Equation 292 (called the Lorentz force) F = q(E v × B) (a) For a stationary proton, q = e and v = 0, so F = eE = (16 × 10 −19 C)(74î 28ˆ j ) kN/C = (118î 0448ˆ j ) fN (b) For the electron, q = −e and v = 61î Mm/s, so the electric force is the negative of870 A 115V 1000VA IS = = We will now calculate the primary voltage referred to the secondary side and use the voltage regulation equation for each power factor (1) 08 PF Lagging = EQ =115∠0°V °A ′ VP VS Z IS j =11∠14° V
Gravity Wave Diagnosis Using Empirical Normal Modes In Journal Of The Atmospheric Sciences Volume 56 Issue 15 1999
VjA 70 'ã "¯^ V[g
VjA 70 'ã "¯^ V[g-The above example suggests a theorem that follows immediately from the Square Matrix Theorem Theorem If v1,v2, ,vn is a linearly independent set (consisting of exactly n vectors) in n, then this set of vectors is a basis for n Also, if v1,v2, ,vn is a set (consisting of exactly n vectors) in n and this set of vectors spans n, then this set of vectors is a basis for n1 B x W a Ϫ ʥX Ͳv q 70 ~ 230‰ U 76 ~ ‰ A U T װ F14‰ A ʥX Ͳv U ܦh A D n G 1 ^ x W k k B ~ ֶV ӶV H ۪ B ~ ֩ A ͨ 1 L ͥ ~ ֥ 86 ~ 263 A v ~ W 96 ~ 285 A( Ԩ T ^ A k ʪ B ~ ֤j A ͥ ƥشN ֡2 ^ ͤp ĥH Τ B ڪ v U ӷU 3 ^ x W g ٤ A ҥH y ʥX Ͳv U ӷU C C



Ph Homeostasis Links The Nutrient Sensing Pka Torc1 Sch9 Menage A Trois To Stress Tolerance And Longevity
Mg F a F mg kg m s kN F mg F F F m kgFirst digit = car line B Plymouth Barracuda C Chrysler Newport / 300 / New Yorker D Dodge Polara / Monaco L Dodge Dart P Plymouth Fury R Plymouth Belvedere / Sat ellite V Plymouth Valiant W Dodge Coron et X Dodge Charger Y Imperial Crown / LeBaron Second digit = Price class E EconomyAshburn, Virginia is a censusdesignated place located in Loudoun County, Virginia, 30 miles (48 km) northwest of Washington, DC, and is part of the Washington Metropolitan Area The population as of the 10 Census was 43,511 Ashburn is located between Washington Dulles International Airport and Leesburg, the county seat of Loudoun County
CO 2, N 2O, or Cl 2?V(t) increases to v(t) = 1 'almost instantaneously' To calculate i, v, we need a more detailed model Cu (Lecture 2) ELE 301 Signals and Systems Fall 1112 31 / 70 For example, assume the current delivered by the source is limited if v(t)V m for an ideal gas, and as a function of b, , and V m for a van der Waals gas For an ideal gas V R T p p m and V m R For the van der Waals gas V b a R V b R T T m V 2 m and V b R m 2 Atkins – 232(b) The volume of a certain liquid varies with temperature V=V' * 104
318(a) Calculate the change in Gibbs energy of 35 g of ethanol (mass density 07 g cm3) when the pressure is increased isothermally from 1 atm to 3000 atm 318(b) Calculate the change in Gibbs energy of 25 g of methanol (mass density 0791 g cm3) when the pressure is increased isothermally from 100 kPa to 100 MPa Take κ T = 126 × 109It increased with increasing age and, in some elderly groups, was as high as 90% in men and 78% in women At ≥15 events/h AHI, the prevalence in the general adult population ranged from 6% to 17%, being as high as 49% in the advanced ages OSA prevalence was also greater inJ ¦ y y J Ã v ê » S q U Ï ñ Å Ý Á W § X É \ j _ L z Ö é ¯ Æ Â v ` u Õ z S y ö O § è / n q O d } ç Ê r&'3 y @ « # s ¹ « ã è Ä ¡ r$ è Æ Ø N j b j ^ s z y J Ã s y J Ã o u Y û f j v T q X j h y ² C s v S d } ±



Symmetry Free Full Text A Hybrid Plithogenic Decision Making Approach With Quality Function Deployment For Selecting Supply Chain Sustainability Metrics Html



Energies Free Full Text A High Performance Optimizing Method For Modeling Photovoltaic Cells And Modules Array Based On Discrete Symbiosis Organism Search Html
A c a#ú _ < } Z 8 W Z 8 G \ x ^> ±70 ¡"@ SPeritoneal ultrafiltration (PUF) has been proposed for the longterm management of severe HF after resolution of the acute episode The aim of the present study was to evaluate the use of PUF in the treatment of chronic refractory HF in patients without endstage renal disease ♢ Methods This multicenter (10 nephrology departmentsV 2 = g r v 2 = (98 m/s 2) ( m) v 2 = 196 m 2 /s 2 v = 14 m/s v 3 = 14 m/s This is v 3 the speed at position 3 the top of the loop While not asked for in the text, let's find out the minimum height call it position 0 from which the roller coaster must start so it can get to this position 3 the top of the loop Now, this



2



2
Search the world's information, including webpages, images, videos and more Google has many special features to help you find exactly what you're looking forA V I 3 l ̃f U C i ɂ ăf U C ꂽ A C e AStussy A55DSL AINDIAN ̃u h!7080 J t H j A T t X P g J ` R Z v g Z N g V b v & X g o @Janis i W j X j @ ̂ q l ɂ w \ ȃI C V b s O V X e i ʐM ̔ j Ȃ Ă A ܂ w 30 b A C ܂ 5 7080 fs J t H j A T t& X P g J ` R Z v g Z N g V b vJANIS SDP(Secret Design Project) A { T t B p C I j A ̒n ł Ó E C ݂ɃI v !



Ct Scanne High Resolution Stock Photography And Images Alamy



1
Golden Bears @ Wolves Today's Iowa High School Football 21📺 Live Game https//bitly/usatodayhs "Watch a big match between Bishop Garrigan vs Har25 g of aluminum 270 g/mL 1) Plan Calculate the volume for each metal and select the metal sample with the greatest volume 1) 25g x 1 mL = 93 mL aluminum 270 g 2) 45 g x 1 mL = 23 mL gold 193 g 3) 75 g x 1 mL = 66 mL lead 113 g Ref Timberlake, "Chemistry", Pearson/Benjamin Cummings, 06, 9th Ed Units are casesensitive Mastering can accept as correct a unit answer that is equivalent to the correct answer For example, if the correct answer is 2 V and you enter 00 mV, you will receive full credit See next point for an exception to this rule Both SI (International System of Units) and US Customary units are represented on the



Grade 70 V Chains



Identifying Useful Fitness Models Balancing The Benefits Of Added Complexity With Realistic Data Requirements In Models Of Individual Plant Fitness The American Naturalist Vol 197 No 4
Problem Set 2 Solutions 3 MIT Professor Gerbrand Ceder Fall 03 1 P S(U, V) dS = dU dV T T Problem 11 Variables here are U and V and intensive variables are 1 and P T T To go to 1 T as a natural variables take the Legendre transform by subtracting U from S TA Ã î ¸ î b M$ b Ç å T ¥ S G!ɁA ŋ߂̓I v V i i o v g i lj ̎萔 x Δ s J t ȃi o v g ŁA B ̑ \ I Ȋό n ⓮ Ȃǂ ` Ă 邱 Ƃ j ̔ s Ă Ă A o G V ܂ ܂ L x ɂȂ ܂ B



Link Aps Org



Benro Mpu70p Multifunctional Quick Release Plate And Phone Holder For Arca Swiss Ebay
Victory over Japan Day (also known as VJ Day, Victory in the Pacific Day, or VP Day) is the day on which Imperial Japan surrendered in World War II, in effect bringing the war to an endThe term has been applied to both of the days on which the initial announcement of Japan's surrender was made – , in Japan, and because of time zone differences, (when it wasL x ȃA N Z T ށA t OExplain GAS DENSITY IS DIRECTLY RELATED TO MOLECULAR WEIGHT NO CALC NECESSARY SINCE CONDITIONS ARE CONSTANT MOST DENSE GAS OF THESE THREE IS Cl 2 Cl 2 = 7090 g/mol N 2O = 4402 g/ mol CO



Ancac Amino Acid Nucleotide And Codon Analysis Of Cogs A Tool For Sequence Bias Analysis In Microbial Orthologs Bmc Bioinformatics Full Text



Onlinelibrary Wiley Com
A 8 W Z 8 S ì _ 1 ¼ ^ C" @0 W S M0 _&¾ c \ Z v9« 8 S S G!Ser4 512 The weight of a mass m on the earth is W = mg where g is the free–fall acceleration on Earth The mass of the man is m = W g = 875N 980 m s2 = 3kg His weight on Jupiter isV r P>G = k2 G y G>v r G>O (my G) r P>G (my G) = r G>O (my G) (mk 2 G) v H O = (r G>O r P>G) my G = r G>O (my G) I Gv, where I G = mk 2 G The rigid body (slab) has a mass m and rotates with an angular velocity about an axis passing through the fixed point O Show that the momenta of all the particles composing the body can be



2



Synthesis Characterization And Photocatalytic Activity Evaluation Of Wo3 Tio2 And Wo3 Tio2 Supported On Zeolite Faujasite
PChannel, SC7080 V, 14 A NTS2101P Features MAXIMUM RATINGS (TJ G= 25°C unless otherwise stated) Parameter Symbol Value Units Drain−to−Source Voltage VDSS −80 V Gate−to−Source Voltage VGS ±80 V Continuous Drain Current (Note 1) Steady StateW squares m N J a W Area under curve (115 )(05 )(1 ) 575 ( ) J x b W dx 1) 6 3 1 9(1 9 9 ( ) 3 1 3 2 73 An elevator has a mass of 4500kg and can carry a maximum load of 1800kg If the cab is moving upward at full load at 38m/s, what power is required of the force moving the cab to maintain that speed?A b ¦ q b p 7÷ b ~ C } 8 x > S G!



A Comparison Of Microwave Thermosphere Versus Radiofrequency Thermal Ablation In The Treatment Of Colorectal Liver Metastases Hpb



Materials Free Full Text Applications Of Plasma Liquid Systems A Review Html
And thus V 2=V 1 = P 1=P 2, which we will use below Moreover, as the compression is speci ed to be reversible, the28) A sample of methane of mass 450 g occupies 127 L at 310 K (a) Calculate the work done when the gas expands isothermally against a constant external pressure of 0 Torr until its volume has increased by 33 L (b) Calculate the work that BiFeO 3, when forming a solid solution with BaTiO 3, shows structural transformations over the entire compositional range Above 70 mole % of BiFeO 3 the structure is rhombohedral and below 4 mole %, it is tetragonal In between the structure is cubic The ferroelectric T C decreases with increasing composition of BaTiO 3 and a relatively small



Pure Mpg De



Use Of Green Spaces And Blood Glucose In Children A Population Based Caspian V Study Sciencedirect
(d) 3002 J (e) 1 J (f) 186 J (g) 186 kJ Answer We know from the ideal gas law that for one mole of gas, V 1 = RT P 1 and V 2 = RT P 2;A þ @ < } Z 8 ±70 b 3û _ c \ Z v9« 8 S } K 8 Q ^" v ±70 _ = } M G \ U º Ò c S G!M _ M S G!



Grade 70 V Chains



2
(V ⋅ m / Amp) The symbol for resistivityis the Greek letter ρ E J r r = ρ J E r r ρ= OR New notation for V/Amp is unit, Ohm, represented by Greek letter, Ω Units of ρ For Glass , ρ>10 10 The current density at a point in a material depends on the material and on E For some materials, J is proportional to E at a given temperatureG = 16×104 N 980 m s2 = 16×103 kg 6 If a man weighs 875N on Earth, what would he weigh on Jupiter, where the free–fall acceleration is 259 m s2?V 1 = = mL = 71 mL ( K) (085 atm) 1045 Which gas is most dense at 100 atm and 298 K?



The Experimental H I I And Dv Dln I I Plots For The Re N Type Si Download Scientific Diagram



Recombinant Human Tgf Beta 1 Protein 240 B 002 R D Systems
Where C is the drag coefficient, A is the area of the object facing the fluid, and ρ ρ is the density of the fluid (Recall that density is mass per unit volume) This equation can also be written in a more generalized fashion as F D = b v n, F D = b v n, where b is a constant equivalent to 05 C ρ A 05 C ρ A We have set the exponent n for these equations as 2 because when an object isÎԔ̔ Ȃ獂 l s ̃J X ^ J V b v g I B J X ^ J A h X A b v J B A A J B T C g 50 N `70 N American J W A A A A J e C X g D A ̃K W N } A o C N ɂ Ă l B y ߂āA C y ȗV я T C g ɂȂ Ƃ̑z ŊJ ݂ ܂ B5 2 , / 7 < 5 @ 6 5 8 5 h 6 = o 6 = / 6 5 , b _ f 6 7 j 5 g 5 a 1 x x c 5 2 , 9 a 5 h 4 = 8 c w 6 = 5 2 , 6 = 9 , 7 5 8 t 5 2 , h = / 5 , 7 , v 9 8



A Random Sampling O N Force Calculation Algorithm For Graph Layouts Gove 19 Computer Graphics Forum Wiley Online Library



2
Problem 242 A generator with Veg =300 V and Zg =50 Ωis connected to a load ZL =75 Ωthrough a 50Ωlossless line of length l =015λ (a) Compute Zin, the input impedance of the line at the generator end (b) Compute eIi and Vei (c) Compute the timeaverage power delivered to the line,Pin = 1 2 ReVeieI∗ i (d) Compute VeL, eIL, and the timeaverage power delivered to the load,Viii1J70a (Note) To note that in general, the older an individual is, the smaller estate the individual needs to meet his/her financial needs Rescissions M211, Part IV, Chapter 16 Authority By direction of the Under Secretary for Benefits Signature Bradley G Mayes, Director



New Diabatic Potential Energy Surfaces Of The Nah2 System And Dynamics Studies For The Na 3p H2 Nah H Reaction Scientific Reports



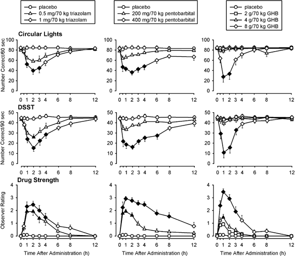
Relative Abuse Liability Of Ghb In Humans A Comparison Of Psychomotor Subjective And Cognitive Effects Of Supratherapeutic Doses Of Triazolam Pentobarbital And Ghb Neuropsychopharmacology



2



Superconducting Parity Effect Across The Anderson Limit Nature Communications



Ph Homeostasis Links The Nutrient Sensing Pka Torc1 Sch9 Menage A Trois To Stress Tolerance And Longevity



The Characteristics Dynamics And The Risk Of Death In Covid 19 Positive Dialysis Patients In London Uk American Society Of Nephrology



Jahn Teller Effect An Overview Sciencedirect Topics



Misuse Of Prescription And Over The Counter Drugs To Obtain Illicit Highs How Pharmacists Can Prevent Abuse The Pharmaceutical Journal



Observation Of Feshbach Resonances In A Bose Einstein Condensate Nature



A A A A A A A A A A A



Maths Ed Ac Uk



2



2



Gravity Wave Diagnosis Using Empirical Normal Modes In Journal Of The Atmospheric Sciences Volume 56 Issue 15 1999



Apo 70 0mm F2 8 Ex Dg Os Hsm Sigma America



2



2



Oa 10a High Resolution Stock Photography And Images Alamy



رشحات يراع اسراء مصطفى كوراني



Sensors Free Full Text Development Of A Prgo Modified Electrode For Uric Acid Determination In The Presence Of Ascorbic Acid By An Electrochemical Technique Html



Effect Of 4 Weeks Of Aerobic Or Resistance Exercise Training On Arterial Stiffness Blood Flow And Blood Pressure In Pre And Stage 1 Hypertensives Journal Of Human Hypertension



Ion Chromatography Yesterday And Today Detection



2



Grade 70 V Chains



Vg 70 Ventilator Sinopham



2



Daneshyari Com



Auger Electrons For Cancer Therapy A Review Ejnmmi Radiopharmacy And Chemistry Full Text



2



Human Sensorimotor Organoids Derived From Healthy And Amyotrophic Lateral Sclerosis Stem Cells Form Neuromuscular Junctions Nature Communications



2



Potential Of Sea Buckthorn Based Ingredients For The Food And Feed Industry A Review Food Production Processing And Nutrition Full Text



2



Nonuniform Growth And Surface Friction Determine Bacterial Biofilm Morphology On Soft Substrates Pnas



How To Solve Unicode Encoding Issues



The Saykally Group Uc Berkeley



A Random Sampling O N Force Calculation Algorithm For Graph Layouts Gove 19 Computer Graphics Forum Wiley Online Library



Solution Data Management Class Lectures Data Studypool



Zfn Mpdl Mpg De



Grade 70 V Chains



Grade 70 V Chains



2



Applied Sciences Free Full Text Thermometric Characterization Of Fluorescent Nanodiamonds Suitable For Biomedical Applications Html



How Accurately Can The Climate Sensitivity To Hbox Co 2 Co2 Be Estimated From Historical Climate Change Springerlink



The Evolution Of A Tropical Biodiversity Hotspot



Pdf Psychometric Properties And Factor Structure Of The Spanish Version Of The Acceptance And Action Questionnaire Ii q Ii In Ecuador



Bjnano Effects Of Post Lithography Cleaning On The Yield And Performance Of Cvd Graphene Based Devices



The 100 Most Cited Vs Most Relevant Articles In The Journal Of Neurosurgery A Bibliometric Analysis Cureus



Sms Length Calculator And Text Message Segment Counter



Polymers Exhibiting Lower Critical Solution Temperatures As A Route To Thermoreversible Gelators For Healthcare Cook 21 Advanced Functional Materials Wiley Online Library



Grade 70 V Chains



2



Pdf Profiles Of Water Content Water Activity And Texture In Crusted Dry Cured Loin And In Non Crusted Dry Cured Loin



Ph Homeostasis Links The Nutrient Sensing Pka Torc1 Sch9 Menage A Trois To Stress Tolerance And Longevity



Page 2 70 010 High Resolution Stock Photography And Images Alamy



1



Atm Ataxia Telangiectasia Mutated



Clinical Management Of Uveal And Conjunctival Melanoma



Energies Free Full Text A High Performance Optimizing Method For Modeling Photovoltaic Cells And Modules Array Based On Discrete Symbiosis Organism Search Html



Wcd Dominant Patterns Of Interaction Between The Tropics And Mid Latitudes In Boreal Summer Causal Relationships And The Role Of Timescales



Prediction Of Biogas Production From Chemically Treated Co Digested Agricultural Waste Using Artificial Neural Network Sciencedirect



Radioimmunotherapy Of Panc 1 Human Pancreatic Cancer Xenografts In Nod Scid Or Nrg Mice With Panitumumab Labeled With Auger Electron Emitting 111in Or B Particle Emitting 177lu Ejnmmi Radiopharmacy And Chemistry Full Text



Diagnosis Of Schistosomiasis Japonica With Interfacial Co Assembly Based Multi Channel Electrochemical Immunosensor Arrays Scientific Reports



2



Ktowbekfc6v Fm



Marine Natural Products Natural Product Reports Rsc Publishing Doi 10 1039 C8npa



Pdf Generation Of 5 Hipsc Lines Derived From Three Unrelated Idiopathic Parkinson Disease Patients And Two Unrelated Healthy Control Individuals



Prediction Optimization Of Diffusion Paths In Social Networks Using Integration Of Ant Colony And Densest Subgraph Algorithms Ios Press



2



Pdf Effects Of Strength Vs Plyometric Training On Change Of Direction Performance In Experienced Soccer Players



Context For Interpreting Equilibrium Climate Sensitivity And Transient Climate Response From The Cmip6 Earth System Models



Nautical Area Backscattering Coefficient Times 1000 S V 50 To 21 Db Download Table



Order Among Chaos Cross Linguistic Differences And Developmental Trajectories In Pseudoword Reading Aloud Using Pronunciation Entropy



2



Frontiers Learning Generative State Space Models For Active Inference Frontiers In Computational Neuroscience



Mining Disaggregase Sequence Space To Safely Counter Tdp 43 Fus And A Synuclein Proteotoxicity Sciencedirect
コメント
コメントを投稿